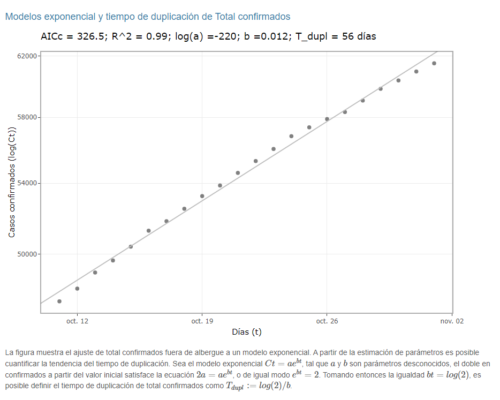
El tiempo de duplicación de casos confirmados es de 56 días, mientras que la duplicación de muertes es de 53 días, señala el reporte semanal de COVID-19 en Paraguay, de la Dirección de Vigilancia de la Salud.
Desde mediados de octubre, hospitalizaciones e ingresos a terapia se muestran decrecientes.
El uso de mascarilla, la distancia física, el lavado de manos y los ambientes ventilados siguen siendo las medidas esenciales para disminuir el riesgo de contagio del virus pandémico.
De acuerdo al informe, se registra una caída significativa en la tasa de positividad diaria, en promedio de 22% para la semana 44 en comparación con el 25% de la semana anterior. En general, se observa una tendencia decreciente favorable pero aún alejado del 5% recomendado por la OMS como criterio de situación bajo control.
La transmisibilidad (Rt), es decir, el promedio de personas contagiadas por infectado, se muestra decreciente y por debajo de 1 desde el 26 de septiembre.
El tiempo de duplicación del total de muertes sigue con tendencia favorable, con una desaceleración de 53 días. El promedio de muertes diarias para la semana fue de 2.2 por millón de habitantes, significativamente menor al promedio semanal reportado en la semana 41. La tendencia actual es decreciente, alejado del umbral critico considerado por el Instituto de Métricas y Evaluación para la Salud (IHME), de 8 muertes por millón de habitantes.
En tanto que, el tiempo de duplicación del total de casos confirmados es de 56 días, evidenciando una tendencia a la desaceleración desde finales de setiembre.
La curva epidémica por el promedio de casos nuevos diarios muestra una tendencia decreciente desde hace 4 semanas y es significativamente menor al máximo reportado en la semana 38.
Respecto a las cifras de hospitalizaciones generales e ingresos a unidades de terapia intensiva (UTI) se muestran decrecientes desde mediados de octubre. El promedio móvil de 7 días para UTI es de 121, mientras que para generales es de 505.
El promedio diario de muestras procesadas no reporta cambios significativos desde hace 11 semanas.
Descargue el Reporte Semanal de COVID-19 en Paraguay


